上一页】【下一页】【返回目录
§6-2 阻尼振动
  一个振动物体不受任何阻力的影响,只在回复力作用下所作的振动,称为无阻尼自由振动
  在回复力和阻力作用下所作的振动,称为阻尼振动
    
              (flash一、不同介质的阻尼振动)
  谐振子的阻尼振动:
  振动系统受介质的粘滞阻力与速度大小成正比,与其方向相反。
    
  这时的动力学方程:
    
  令:
    
    称为振动系统的固有角频率,称为阻尼系数.
  阻尼振动的位移与时间的关系:
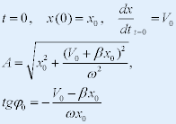
  (1)阻尼较小时,,此方程的解:
    
  阻力使周期增大,这种情况称为欠阻尼.由初始条件决定A和初相位,设
    
    
             (图一、欠阻尼振动)
  (2)阻尼较大时,,方程的解:
    
    其中C1,C2是积分常数,由初始条件来决定,这种情况称为过阻尼。
    无振动发生。
    
             (图二、无阻尼振动的情况)
  (3)如果,,方程的解:
    
    称之为临界阻尼情况。它是振动系统刚刚不能作准周期振动,而很快回到平衡位置的情况,应用在天平调衡中。
    
 
  是从有周期性因子到无周期性的临界点。
 
上一页】【下一页】【返回目录
"

科学空间整理"