费曼积分法——积分符号内取微分(4)
By 苏剑林 | 2012-06-26 | 97973位读者 |趁着早上有空,就赶紧把这篇文章写好吧。下午高考成绩要公布了,公布后也许又会有一段时间忙碌了。这应该是“费曼积分法”系列最后一篇文章了。它主要讲的还是费曼积分法的一个实例。不同的是,这是BoJone首次独立地用费曼积分法解决了一个问题。之前提到的一些例子,都是书本提供并结合了提示,BoJone才把它们算出来的。所以这个问题有着点点纪念意义。
数学研发论坛上wayne曾求证这样的命题:
$\int_0^{\infty}\frac{f(x,2m-1)-\sin x}{x^{2m+1}}dx$其中,f(x,2m-1)表示sinx的2m-1阶泰勒展开
如m=1时,
$$\int_0^{\infty}\frac{x-\sin x}{x^3}dx$$
m=2时
$$\int_0^{\infty}\frac{x-\frac{x^3}{6}-\sin x}{x^5}dx$$
借助软件我发现结果是:
$\frac{\pi(-1)^{m-1}}{2(2m)!}$
有人利用拉普拉斯变换给出了证明,而我对拉普拉斯变换只是有概念,不懂具体方法。我利用费曼积分法,将问题一般化。假设有函数y=f(x),求积分
$$F(t)=\int_a^b \frac{f(0)+f'(0)(tx)+f''(0)\frac{(tx)^2}{2}+...+f^{(n)}(0)\frac{(tx)^n}{n!}-f(tx)}{x^{n+1}} dx$$
我们有
$$\begin{aligned}\frac{d F(t)}{dt}=\int_a^b \frac{f'(0)+f''(0)(tx)+...+f^{(n)}(0)\frac{(tx)^{n-1}}{(n-1)!}-f'(tx)}{x^n} dx\end{aligned}$$
连续n次微分得到
$$\begin{aligned}\frac{d^n F(t)}{dt^n}=\int_a^b \frac{f^{(n)}(0)-f^{(n)}(tx)}{x} dx\end{aligned}$$
对于某些情况,可以n+1次微分得到
$$\begin{aligned}\frac{d^{n+1} F(t)}{dt^{n+1}}=\int_a^b -f^{(n+1)}(tx) dx=-f^{(n)} (tx)|_a^b\end{aligned}$$
然后对变量t积分n次或n+1次即可,这个过程会得出多个积分常数。我们知道当t=0时原积分值为0,可以确定每一个积分常数都为0。
对于wayne的题目,f(x)=\sin(x),n=2m,$f^{(2m)}(x)=(-1)^m sin x$
$$\begin{aligned}\frac{d^{2m} F(t)}{dt^{2m}}=\int_0^{\infty} \frac{-(-1)^m \sin (tx)}{x} dx\end{aligned}$$
(这里不能够再微分了,在微分会得到$-(-1)^m sin (tx)|_0^{\infty}$,这没有意义)
根据$\int_0^{\infty} \frac{sinx}{x}dx=\frac{\pi}{2}$
我们有
$$\frac{d^{2m} F(t)}{dt^{2m}}=-(-1)^m\frac{\pi}{2}=(-1)^{m-1} \frac{\pi}{2}$$
2m次积分后:$F(t)=\frac{(-1)^{m-1} \pi \cdot t^{2m}}{2(2m)!}$
取t=1即可。
于是,一个有趣的定积分被费曼积分法漂亮地解决了!
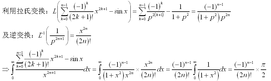
附:拉普拉斯变换的证明
结语
在一般的微积分教材基本已经不讲“积分符号内取微分”这个工具了,应对那些复杂一点的积分,基本会用到复变函数的工具(即之前提到的“围道积分”),或者输入计算机,直接了事。但是,对于这个相当有趣的技巧,BoJone还是想把它介绍给读者,让大家知道有这么一个东西的存在,也有这么一个东西的历史。毕竟,“小飞侠”费曼用它解决了不少难题,难道我们就不想一试?
转载到请包括本文地址:https://www.spaces.ac.cn/archives/1637
更详细的转载事宜请参考:《科学空间FAQ》
如果您还有什么疑惑或建议,欢迎在下方评论区继续讨论。
如果您觉得本文还不错,欢迎分享/打赏本文。打赏并非要从中获得收益,而是希望知道科学空间获得了多少读者的真心关注。当然,如果你无视它,也不会影响你的阅读。再次表示欢迎和感谢!
如果您需要引用本文,请参考:
苏剑林. (Jun. 26, 2012). 《费曼积分法——积分符号内取微分(4) 》[Blog post]. Retrieved from https://www.spaces.ac.cn/archives/1637
@online{kexuefm-1637,
title={费曼积分法——积分符号内取微分(4)},
author={苏剑林},
year={2012},
month={Jun},
url={\url{https://www.spaces.ac.cn/archives/1637}},
}











May 17th, 2013
最后那个拉氏变换的解法不理解。为什么能把分子做变换分母做逆变换然后乘一块?
这个我暂时也看不懂,请允许我研究一阵...
我觉得似乎没什么道理,不过答案居然是对的。拉氏变换我也不熟,你研究出来了能不能给我发个邮件tcya24@163.com。谢啦。看了你的博客,很不错,后生真是太可畏啦。
May 30th, 2013
积分符号内取微分很多时候是不对的。这里面涉及到了广义和,很玄妙,不过楼主用的时候是没错的,而且很巧妙啊。而且我思考了一下,也能用贝莱尔求和法结合组合等式给一个比较复杂的证明,没有你的与拉式方法的简洁。但是我能把它扩充到我最近的一篇论文里。谢谢启发
我觉得对于像费曼这样的物理学家来说(尤其是在他那时候很多积分都得靠人工手算的时代),这个方法是很有用的,计算不能算出正确值,也能够作一个合理的估计。
按照我的经验,假如不能算出正确值,那么这个计算出来的东西和准确值是差十万八千里的
May 30th, 2013
哦。。哦damn,原来拉式方法就是我刚才说的那种方法哦,楼主我没回过你的帖子。。我不知道什么拉不拉的
May 30th, 2013
楼主,请问你是否研究出来了?没有的话是否有兴趣听我的证明?没有的话是否能和我交个朋友聊些别的?
我还没有理解它,如果你愿意分享你的证明,我当然是无任欢迎啦^_^
真的非常简单,富比尼定理就行,怎么给你看图?你的QQ是什么?
673035421,在“关于本站”栏目就有。
May 30th, 2013
这个证明极其简单,两行,我能基于广义和理解。我在考虑我是不是应该承认我知道拉氏变换再阐述他和广义和的关系?
May 30th, 2013
f L-1(g) e^- = fg = L(f)L-1(g)
能理解吗?
我表示看不懂这条式子。
May 19th, 2014
纠一下错,“取m=1即可”改成"取t=1即可"。