《积分公式大全》网络版本
By 苏剑林 | 2010-10-06 | 27324位读者 |为了方便各位读者查阅,BoJone特意制作了这个积分公式表的电子版本。
数学公式采用JsMath技术显示,为了能够更清晰地显示数学公式,推荐读者下载TeX-fonts字体。
原著的具体说明和下载,请点击
浏览地址:http://kexue.fm/sci/integral/index.html
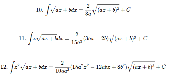
下载专用字体效果:
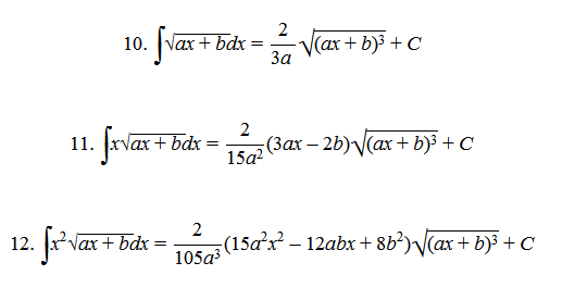
不下载专用字体效果:
转载到请包括本文地址:https://www.spaces.ac.cn/archives/976
更详细的转载事宜请参考:《科学空间FAQ》
如果您还有什么疑惑或建议,欢迎在下方评论区继续讨论。
如果您觉得本文还不错,欢迎分享/打赏本文。打赏并非要从中获得收益,而是希望知道科学空间获得了多少读者的真心关注。当然,如果你无视它,也不会影响你的阅读。再次表示欢迎和感谢!
如果您需要引用本文,请参考:
苏剑林. (Oct. 06, 2010). 《《积分公式大全》网络版本 》[Blog post]. Retrieved from https://www.spaces.ac.cn/archives/976
@online{kexuefm-976,
title={《积分公式大全》网络版本},
author={苏剑林},
year={2010},
month={Oct},
url={\url{https://www.spaces.ac.cn/archives/976}},
}












最近评论