正十七边形的尺规作图存在之证明
By 苏剑林 | 2009-09-20 | 67204位读者 |在网上查找到的,好像有三个不同的版本,全部摘录在此。
关于正17边形的尺规作图方法,请看:
http://kexue.fm/article.asp?id=104
本文章只是证明它的存在(就是求出$\cos ({2\pi}/{17})$)。
$$\cos \frac{2\pi}{17}=\frac{-1+\sqrt{17}+\sqrt{34-2\sqrt{17}}+2\sqrt{17+3\sqrt{17}-\sqrt{34-2\sqrt{17}}-2\sqrt{34+2\sqrt{17}}}}{16}$$
版本一(来自数学研发论坛):
设正17边形中心角为$\theta$,则$17\theta=2\pi$,即$16\theta=2\pi-\theta$
故$\sin 16\theta=-\sin \theta$,而
$$\begin{aligned}\sin 16\theta=2\sin 8\theta \cos 8\theta=2^2\sin 4\theta \cos 4\theta \cos 8\theta \\ =2^4 \sin \theta \cos \theta \cos 2\theta \cos 4\theta \cos 8\theta\end{aligned}$$
因$\sin \theta\neq 0$,两边除之有:
$$16\cos \theta \cos 2\theta \cos 4\theta \cos 8\theta=-1$$
又由$2\cos \theta \cos 2\theta=\cos \theta+\cos 3\theta$等,有
$$2(\cos \theta+\cos 2\theta+...+\cos 8\theta)=-1$$
注意到 $\cos 15\theta=\cos 2\theta,\cos 12\theta=\cos 5\theta$,令
$$\begin{aligned}x=\cos \theta+\cos 2\theta+\cos 4\theta+\cos 8\theta \\ y=\cos 3\theta+\cos 5\theta+\cos 6\theta+\cos 7\theta\end{aligned}$$
有:
$$x+y=-1/2$$
又$xy=(\cos \theta+\cos 2\theta+\cos 4\theta+\cos 8\theta)(\cos 3\theta+\cos 5\theta+\cos 6\theta+\cos 7\theta)$
$$=1/2(\cos 2\theta+\cos 4\theta+\cos 4\theta+\cos 6\theta+...+\cos \theta+\cos 15\theta)$$
经计算知$xy=-1$
又有
$$x=(-1+\sqrt{17})/4,y=(-1-\sqrt{17})/4$$
其次再设:$x_1=\cos \theta+\cos 4\theta,x_2=\cos 2\theta+\cos 8\theta$
$$y_1=\cos 3\theta+\cos 5\theta,y_2=\cos 6\theta+\cos 7\theta$$
故有$x_1+x_2=(-1+\sqrt{17})/4$
$$y_1+y_2=(-1-\sqrt{17})/4$$
解之可有: (大家自己解解吧~~~~)
最后,由$\cos \theta+\cos 4\theta=x_1,\cos \theta\cos 4\theta=(y_1)/2$
可求$\cos \frac{2\pi}{17}$,它是数的加减乘除平方根的组合, 故正17边形可用尺规作出
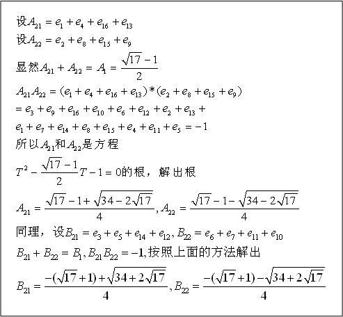
版本二(不知道来自哪个论坛了):
版本三(PDF文件,也来源于网络):
正十七边形作图的思路和方法介绍.zip
转载到请包括本文地址:https://www.spaces.ac.cn/archives/133
更详细的转载事宜请参考:《科学空间FAQ》
如果您还有什么疑惑或建议,欢迎在下方评论区继续讨论。
如果您觉得本文还不错,欢迎分享/打赏本文。打赏并非要从中获得收益,而是希望知道科学空间获得了多少读者的真心关注。当然,如果你无视它,也不会影响你的阅读。再次表示欢迎和感谢!
如果您需要引用本文,请参考:
苏剑林. (Sep. 20, 2009). 《正十七边形的尺规作图存在之证明 》[Blog post]. Retrieved from https://www.spaces.ac.cn/archives/133
@online{kexuefm-133,
title={正十七边形的尺规作图存在之证明},
author={苏剑林},
year={2009},
month={Sep},
url={\url{https://www.spaces.ac.cn/archives/133}},
}










July 21st, 2015
明天看,留个记号
August 5th, 2015
版本三只是提供了作图方法,并没有提供新的证明啊。
December 2nd, 2019
版本2中含U的方程有个笔误?
应该是,但这个是网上搜集的图片,不大好改了~